![]() | ||||||
![]() |
![]() |
![]() |
![]() |
![]() |
![]() |
![]() |
J'ai enfin pris la peine de photographier Vénus, le matin du 29 juillet 2020 à Royan.
Avant cela, ma précédente rencontre avec Vénus remonte au transit de Vénus devant le Soleil du 8 juin 2004, un événement exceptionnel qui n'arrivera plus avant le XXIIème siècle.
Cliquez sur la miniature pour agrandir.

***
Pour cette opposition de janvier 2025 à Tamlakout, le ciel a été très souvent dégagé, souvent très turbulent, mais aussi de rares fois excellent. Une première nuit
excellente fut le 7 janvier 2025, avec une acquisition de 87 films bruts de 4 minutes. Elle a permis de monter créer une animation GIF "bio" montrant
exactement 6 heures de rotation.
Cliquez sur la photo ci-dessous pour ouvrir le GIF animé

Il a fallu attendre 8 jours pour retrouver une nuit excellente en planétaire, ce qui a permis de couvrir d'autres zones de Mars avec cette seconde longue
animation montrant 5h10 de rotation.
Cliquez sur la photo ci-dessous pour ouvrir le GIF animé

***
Comme la planète rouge était très basse pour cette opposition de 2018, il a fallu investir dans des technologies récentes, la ZWO ASI 224MC, et le correcteur de dispersion atmosphérique ZWO, pour pouvoir exploiter correctement le Meade 355/3550 de Royan. De plus, une gigantesque tempête de poussière a masqué tous les détails. Cette photo a été prise au moment où la poussière commençait tout juste à tomber.

***
Cette période de décembre 2024 a été très nuageuse, mais paradoxalement pas mauvaise pour le planétaire, car les conditions de turbulence étaient souvent
excellentes lors des rares moments de ciel dégagé.
La soirée du 10 décembre a permis une première animation de rodage, très courte en raison de l'arrivée des nuages, mais ce n'était pas vraiment une déception
car les nuages étaient attendus.
Cliquez sur la photo ci-dessous pour ouvrir le GIF animé

La première très longue animation a pu être faite le surlendemain, à partir de 400 films bruts. La turbulence a été fortement variable au cours de cette nuit
du 12 décembre, avec deux moments excellents entourés de très mauvaises conditions.
Cliquez sur la photo ci-dessous pour ouvrir le GIF animé

Une seconde longue animation a pu être faite le 17 décembre, avec cette fois une éclipse de Soleil par Io qui poursuit la grande tache rouge, une configuration
qui n'est pas sans rappeler l'animation interrompue une semaine plus tôt par l'arrivée des nuages.
Cliquez sur la photo ci-dessous pour ouvrir le GIF animé

Le lendemain, les bonnes conditions ont été de trop courte durée pour une animation, mais ont permis de sortir une bonne photo.

***
Ma meilleure Jupiter à la webcam SPC900, le 15 octobre 2011 à Hossegor, au bénéfice d'une planète très haute dans le ciel, et d'une humidité extrême qui a cassé les gradients de température.

***
C'était le dernier créneau possible sur cette série d'éclipses par Titan, après des acquisitions médiocres le 6 décembre à travers les nuages. La stabilité
atmosphérique à Tamlakout ce soir-là a été incroyable, permettant de poursuivre les enregistrements jusqu'à très bas sur l'horizon ouest. Avant cette série, les dernières
éclipses de Soleil sur Saturne observables depuis la France remontaient à 1980.
Cliquez sur la photo ci-dessous pour ouvrir le GIF animé

***
Avant que Saturne ne penche dangereusement du côté de l'hémisphère sud pour une décennie, j'ai pu faire une bonne photo de Saturne le 25 avril 2013, avant une longue période de disette.

***
A l'été 2017, je me suis enfin donné la peine de passer deux nuits pour capturer le déplacement apparent de Pluton. Et même 3 nuits puisque la monture CGEM a mal pointé le premier jour, et qu'il a fallu tout jeter.

***
J'ai pu phographier la comète Tsuchinshan-Atlas le soir du 23 octobre 2024 à Hermonville à la lunette de 80mm.
Cliquez sur la miniature pour agrandir

***
Animation montrant le déplacement de la comète sur une période d'environ 1h10, le 21 janvier 2023 vers 5h du matin. Un resserrement des deux composantes de la queue ionique
est bien perceptible malgré la durée relativement courte de l'animation.
Cliquer sur la miniature pour charger le GIF animé (54 Mo)

***
Ma première exoplanète, le 21 juillet 2019. Qatar-1 b est une géante gazeuse environ 20% plus grosse que Jupiter, située à 610 années lumière. Le nuage de points montre la
variation de luminosité de l'étoile au fil des mesures. La baisse de luminosité (de 2,3%) correspond à la mini-éclipse causée par le passage de la planète devant l'étoile.
Traitement tout manuel avec photométrie sous Iris et tableur Open Office pour les calculs.

***
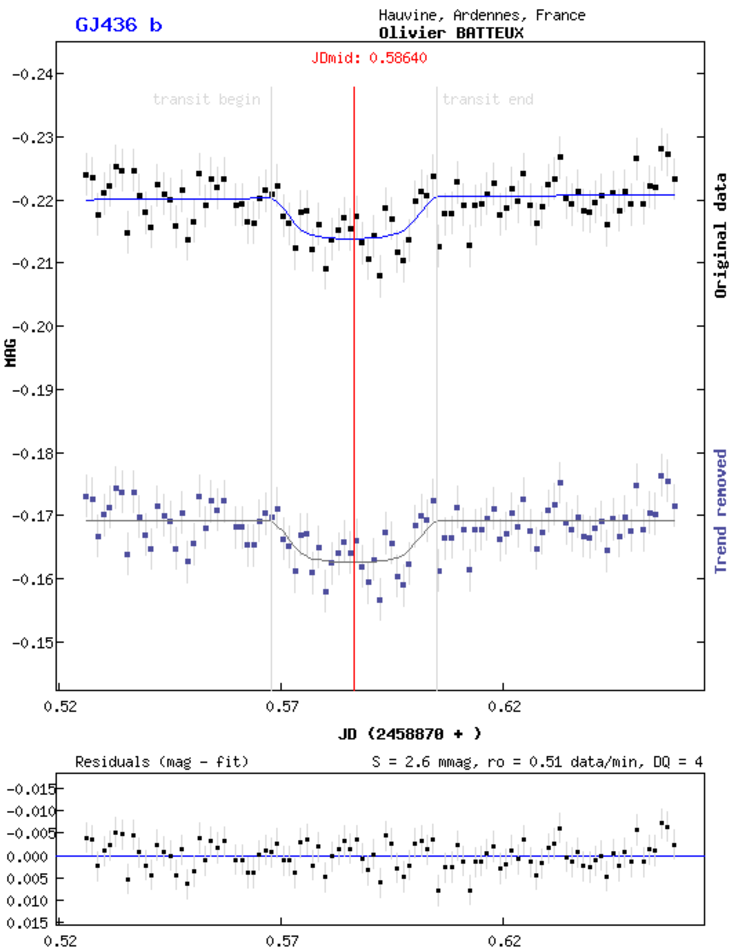
Ma troisième exoplanète, le 21 janvier 2020, est certainement la plus petite qu'on puisse espérer détecter dans un télescope de cette catégorie. Elle est un peu plus grosse qu'Uranus, avec un diamètre probable d'un peu plus de
60.000 km, et une température d'environ 250°C. Elle orbite autour d'une naine rouge située à 33,48 années lumière, qui a fait couler beaucoup d'encre en raison de la découverte contestée d'une probable Gliese 436 c, grosse planète rocheuse
potentiellement à une température habitable.
Le transit de Béhémoth est très difficile à détecter, mais la luminosité plus élevée que d'habitude de l'étoile, et le fait qu'elle ait des proches voisines presque de même luminosité, permet une marge d'erreur plus faible que
dans des conditions plus habituelles.
Voir la courbe modélisée par le TRESCA
***
***